HOTLINE
:
0938237356
Chào Mừng Đến Với Linh Kiện Cơ Điện
Trang chủ
Giới Thiệu
Shop
Sản Phẩm Mới
HƯỚNG DẪN MUA HÀNG
Tài Liệu
Liên Hệ
Menu
All Categories
All Categories
Bộ Phận Đầu In 3D
Bút Vẽ 3D
DLP SLA Resin
Lò Xo Máy In 3D
MakerBase
MÁY MÓC CƠ KHÍ
Part OpenBuilds
Quạt Làm Mát Máy In 3D
CÁC CHỦNG LOẠI LED
DỤNG CỤ ĐIỆN TỬ
MẠCH CẢM BIẾN
Âm Thanh & Ánh Sáng
Chuyển Động & Rung Động
Dòng Điện & Điện Áp
Điện Dung & Điện Trở
Gia Tốc & Gyro
Khoảng Cách & Vị Trí
Lưu Lượng & Trọng Lượng
Nhiệt Độ & Độ Ẩm
Sinh Học & Môi Trường
Từ Trường & Kim Loại
LCD
MẠCH CHỨC NĂNG
Mạch Âm Thanh & Camera
Mạch Động Cơ & Tải
Mạch Đóng Ngắt Thiết Bị
Mạch Giao Tiếp & Chuyển Đổi
Mạch Khuếch Đại Tín Hiệu
Mạch Loa & Phím & Led
Mạch Lưu Trữ & Đọc Dữ Liệu
Mạch Nạp Chipset
Mạch Nguồn & Công Suất
Mạch Thời Gian & Hẹn Giờ
MẠCH TRUYỀN NHẬN
Bluetooth
GPS & GSM & 3G
IR & Hồng Ngoại
RF & RFID
WIFI & LAN
NGUỒN - ADAPTER
NÚT NHẤN & CÔNG TẮC & SW
PHỤ KIỆN - KẾT NỐI
PIN- PHỤ KIỆN ĐẾ PIN
Linh Kiện ARDUINO
Arduino Shield
Board Arduino
PIC
LINH KIỆN CƠ KHÍ
Sản Phẩm Cơ Khí
Mạch CNC
Vitme Lead Screw
Thanh Trượt Vuông & Tròn
Bạc Đạn
Dây Đai GT2 & GT3
Gối Đỡ Đứng & Ngang
Khớp Nối Cứng & Mềm
Ốc & Tán Các Loại
Pulley
Vòng Bi Trượt Các Loại
LINH KIỆN IN 3D
Board 3D
Đầu In và Đầu Đùn Máy In 3D
Bàn Nhiệt
Phụ Kiện In 3D
Nhựa In 3D
NHÔM ĐỊNH HÌNH
Nhôm C - Beam
Nhôm Định Hình 3030 - 3060
Nhôm Định Hình 4040 - 4080
Nhôm Mặt Bàn
Phụ kiện nhôm định hình
Nhôm Định Hình 2020-2040-2060-2080
LINH KIỆN SMART HOME
STEP MOTOR- SERVO MOTOR- MOTOR
0
Item(s) -
0
₫
(
0
) ITEMS IN MY CART
0
₫
Trang chủ
Giới Thiệu
Shop
Sản Phẩm Mới
HƯỚNG DẪN MUA HÀNG
Tài Liệu
Liên Hệ
Menu
NHÔM ĐỊNH HÌNH
Nhôm Định Hình 2020-2040-2060-208
0
Phụ Kiện Nhôm Định Hình
Nhôm C – Beam
Nhôm Mặt Bàn
Nhôm Định Hình 4040 – 4080
Nhôm Định Hình 3030 – 3060
LINH KIỆN CƠ KHÍ
Bạc Đạn
Part OpenBuilds
Dây Đai GT2 3M 5M
Gối Đỡ Đứng & Ngang
Khớp Nối Cứng & Mềm
Mạch CNC
Ốc & Tán Các Loại
Pulley
Thanh Trượt Vuông & Tròn
Vitme Lead Screw
Vòng Bi Trượt Các Loại
Sản Phẩm Cơ Khí
MÁY MÓC CƠ KHÍ
LINH KIỆN IN 3D
Bàn Nhiệt
Board 3D
Đầu In và Đầu Đùn Máy In 3D
Nhựa In 3D
Phụ Kiện In 3D
DLP SLA Resin
Lò Xo Máy In 3D
Bộ Phận Đầu In 3D
Quạt Làm Mát Máy In 3D
Bút Vẽ 3D
MakerBase
Bigtreetech
Linh Kiện ARDUINO
Arduino Shield
Board Arduino
PIC
Raspberry PI
MẠCH TRUYỀN NHẬN
Bluetooth
GPS & GSM & 3G
IR & Hồng Ngoại
RF & RFID
WIFI & LAN
MẠCH CHỨC NĂNG
Mạch Âm Thanh & Camera
Mạch Động Cơ & Tải
Mạch Đóng Ngắt Thiết Bị
Mạch Giao Tiếp & Chuyển Đổi
Mạch Khuếch Đại Tín Hiệu
Mạch Loa & Phím & Led
Mạch Lưu Trữ & Đọc Dữ Liệu
Mạch Nạp Chipset
Mạch Nguồn & Công Suất
Mạch Thời Gian & Hẹn Giờ
MẠCH CẢM BIẾN
Âm Thanh & Ánh Sáng
Chuyển Động & Rung Động
Điện Dung & Điện Trở
Dòng Điện & Điện Áp
Gia Tốc & Gyro
Khoảng Cách & Vị Trí
Lưu Lượng & Trọng Lượng
Nhiệt Độ & Độ Ẩm
Sinh Học & Môi Trường
Từ Trường & Kim Loại
LINH KIỆN SMART HOME
LASER
STEP MOTOR- SERVO MOTOR- MOTOR
LCD
CÁC CHỦNG LOẠI LED
BOARD TEST
DỤNG CỤ ĐIỆN TỬ
NGUỒN - ADAPTER
NÚT NHẤN & CÔNG TẮC & SW
PHỤ KIỆN - KẾT NỐI
PIN- PHỤ KIỆN ĐẾ PIN
SẢN PHẨM KHUYẾN MÃI
NHÔM ĐỊNH HÌNH
Nhôm C – Beam
Nhôm Định Hình 3030 – 3060
Nhôm Định Hình 4040 – 4080
Nhôm Mặt Bàn
Phụ kiện nhôm định hình
Nhôm Định Hình 2020-2040-2060-2080
LINH KIỆN CƠ KHÍ
Part OpenBuilds
Sản Phẩm Cơ Khí
Mạch CNC
Vitme Lead Screw
Thanh Trượt Vuông & Tròn
Bạc Đạn
Dây Đai GT2 3M 5M
Khớp Nối Cứng & Mềm
Gối Đỡ Đứng & Ngang
Ốc & Tán Các Loại
Pulley
Vòng Bi Trượt Các Loại
MÁY MÓC CƠ KHÍ
LINH KIỆN IN 3D
Board 3D
Bút Vẽ 3D
Bộ Phận Đầu In 3D
Lò Xo Máy In 3D
Đầu In và Đầu Đùn Máy In 3D
Bàn Nhiệt
Quạt Làm Mát Máy In 3D
Phụ Kiện In 3D
Nhựa In 3D
DLP SLA Resin
Linh Kiện ARDUINO
Arduino Shield
Board Arduino
PIC
Raspberry PI
MẠCH TRUYỀN NHẬN
Bluetooth
GPS & GSM & 3G
IR & Hồng Ngoại
RF & RFID
WIFI & LAN
MẠCH CHỨC NĂNG
Mạch Âm Thanh & Camera
Mạch Động Cơ & Tải
Mạch Đóng Ngắt Thiết Bị
Mạch Giao Tiếp & Chuyển Đổi
Mạch Khuếch Đại Tín Hiệu
Mạch Loa & Phím & Led
Mạch Lưu Trữ & Đọc Dữ Liệu
Mạch Nạp Chipset
Mạch Nguồn & Công Suất
Mạch Thời Gian & Hẹn Giờ
MẠCH CẢM BIẾN
Âm Thanh & Ánh Sáng
Chuyển Động & Rung Động
Dòng Điện & Điện Áp
Điện Dung & Điện Trở
Gia Tốc & Gyro
Khoảng Cách & Vị Trí
Lưu Lượng & Trọng Lượng
Nhiệt Độ & Độ Ẩm
Sinh Học & Môi Trường
Từ Trường & Kim Loại
LCD
LINH KIỆN SMART HOME
LASER
STEP MOTOR- SERVO MOTOR- MOTOR
LCD
CÁC CHỦNG LOẠI LED
BOARD TEST
DỤNG CỤ ĐIỆN TỬ
NGUỒN – ADAPTER
NÚT NHẤN & CÔNG TẮC & SW
PHỤ KIỆN – KẾT NỐI
PIN- PHỤ KIỆN ĐẾ PIN
SẢN PHẨM KHUYẾN MÃI
Menu
Trang chủ
/
LINH KIỆN CƠ KHÍ
/
Dây Đai GT2 & GT3
/ Dây Đai 3M-5M Bản 15 Đủ Size
Mouse over to zoom in
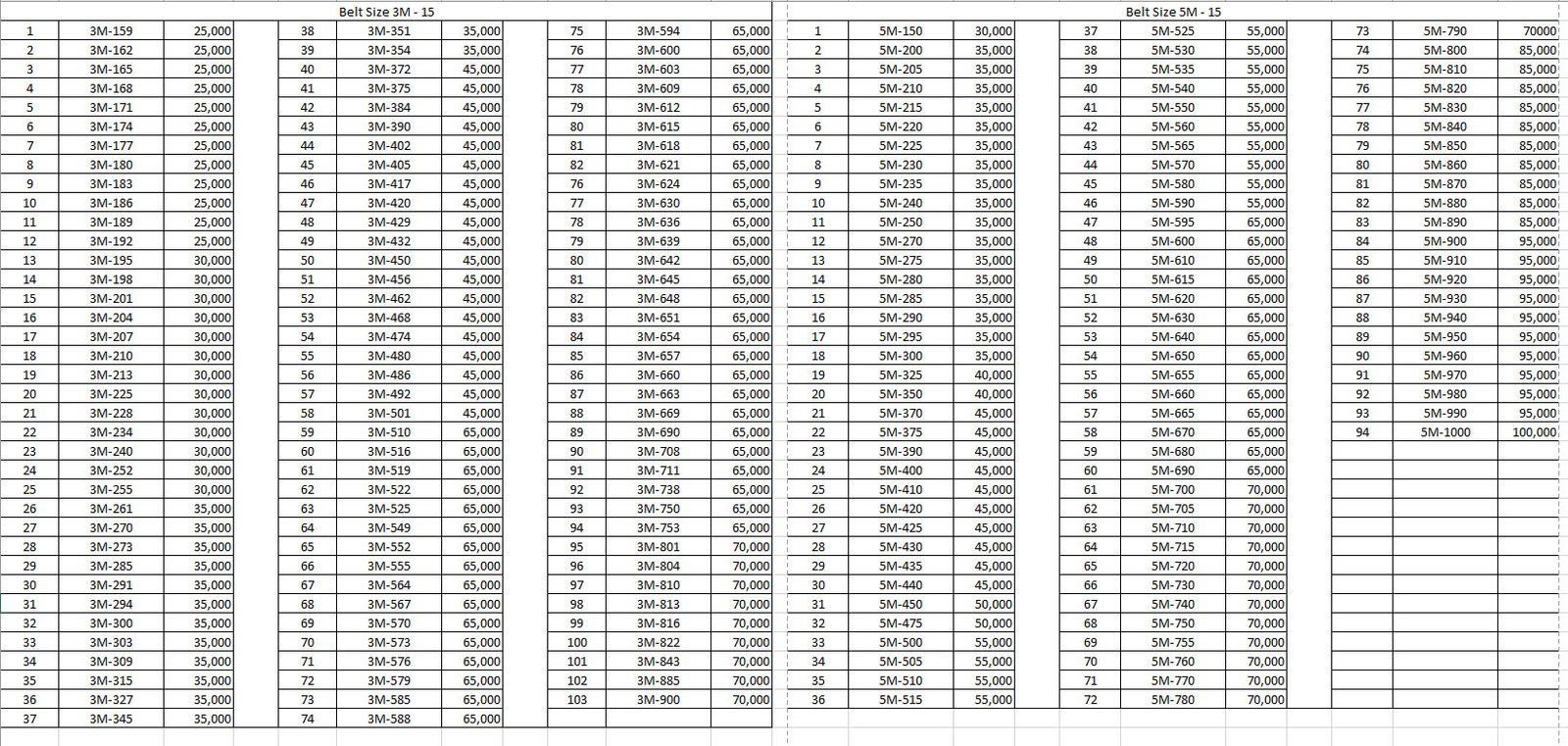
Dây Đai 3M-5M Bản 15 Đủ Size
0 Orders
Item Code:
#DD010
Availability:
In stock
Price:
25,000
₫
Compare
Qty:
Thêm vào giỏ hàng
Mô tả
Tags
Mô tả
Dây Đai 3M-5M Bản 15 Đủ Size
Tags
Sản Phẩm Bán Chạy
Thêm vào giỏ hàng
Gá Phôi
60,000
₫
(0s)
Thêm vào giỏ hàng
Đầu Nối Ke chìm 30-40
10,000
₫
(0s)
Thêm vào giỏ hàng
Lò Nung 10KG 2500-3300W – 220V
55
₫
(0s)
Thêm vào giỏ hàng
Gá Chân đế Nhôm 20-30-40
20,000
₫
(0s)
Sản Phẩm Tương Tự
Thêm vào giỏ hàng
Kẹp Đai 3M – 5M Bản 15
30,000
₫
(0s)
Thêm vào giỏ hàng
Dây Đai Hở 5M Bản 15 Cao Su Đen
70,000
₫
(0s)
Thêm vào giỏ hàng
Dây Đai Hở 5M Bản 15 PU Trắng
55,000
₫
(0s)
Thêm vào giỏ hàng
Dây Curoa GT2 – 10mm
28,000
₫
(0s)
Sản Phẩm Mới
Thêm vào giỏ hàng
Gá Phôi
60,000
₫
(0s)
Thêm vào giỏ hàng
Đầu Nối Ke chìm 30-40
10,000
₫
(0s)
Thêm vào giỏ hàng
Lò Nung 10KG 2500-3300W – 220V
55
₫
(0s)
Thêm vào giỏ hàng
Gá Chân đế Nhôm 20-30-40
20,000
₫
(0s)
Top
Select at least 2 products
to compare